In the heart of Pakistan, a groundbreaking study is offering new hope for grapevine cultivation in the face of climate change. Researchers at the Pakistan Agricultural Research Council’s Horticulture Research Institute in Khuzdar have discovered that exposing grapevines to gamma radiation can enhance their growth and resilience, potentially revolutionizing the agriculture sector.
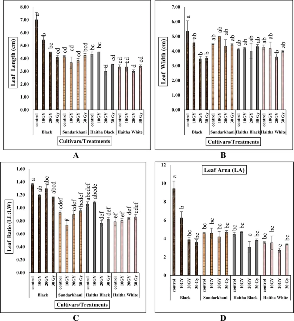
The study, published in *BMC Plant Biology*, focused on four grapevine cultivars subjected to varying doses of Cobalt-60 gamma irradiation. The findings revealed that a 10 Gray (Gy) dose significantly accelerated sprouting, increased plant height, leaf size, and node number, and boosted phenolic, flavonoid, and antioxidant activities. “This dose was a sweet spot,” explained lead author Naeem Ud-Din. “It stimulated growth and metabolic resilience without causing detrimental effects.”
The implications for the agriculture sector are substantial. Grapevines, a vital crop for both the food and beverage industries, face increasing threats from climate change. Droughts, temperature fluctuations, and pests can devastate yields, leading to economic losses and food insecurity. Mutation breeding, as demonstrated in this study, offers a rapid and effective strategy to develop climate-resilient cultivars.
The research also provides a systematic evidence from Pakistan on radiation-induced mutagenesis in grapevines, filling a significant knowledge gap. “Our findings could pave the way for similar studies in other crops and regions,” Ud-Din noted. “This technique has the potential to enhance agricultural productivity and sustainability on a global scale.”
The study’s commercial impacts are already generating interest. Farmers and agricultural companies are keen to adopt this technology to improve their grapevine yields and resilience. The enhanced phytochemical and biochemical activities resulting from gamma irradiation could also lead to grapes with improved nutritional profiles, opening new markets for high-value produce.
As climate change continues to pose challenges to agriculture, innovative solutions like mutation breeding will be crucial. This research not only advances our understanding of grapevine genetics but also offers a promising tool for developing resilient crops. With further exploration and application, gamma radiation-induced mutation breeding could shape the future of sustainable viticulture and regional food security.

