In the ever-evolving world of agriculture, the quest for stable, high-yielding crops is a perpetual challenge. For cotton farmers, this challenge is particularly acute, as the crop’s yield and fiber quality are significantly influenced by environmental factors. A recent study published in the *Journal of Cotton Research* sheds light on this very issue, offering promising insights for the future of cotton farming.
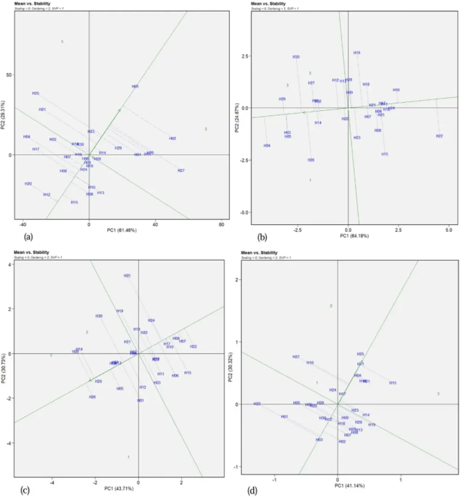
The study, led by Meera Mundakochi from the Department of Genetics and Plant Breeding at Tamil Nadu Agricultural University, evaluated 30 cotton hybrids across three environments to assess their stability in terms of yield and fiber quality. The research employed advanced techniques such as GGE biplot, WAASB, and MTSI to analyze the stability of four key traits: single-plant seed cotton yield, fiber upper half mean length (UHML), fiber strength, and micronaire.
The findings revealed significant genotype and environment interactions for all the traits studied, underscoring the need for comprehensive stability analysis. “The environment E2 was the most suitable for the evaluation of seed cotton yield, whereas E3 was suitable for the evaluation of UHML and fiber strength,” Mundakochi explained. This highlights the importance of considering environmental factors when selecting cotton hybrids for cultivation.
The study identified a stable hybrid, H05 (TVH002 × MCU5), with superior performance for seed cotton yield and UHML. “Based on the overall results from GGE and WAASB, H05 emerged as a stable hybrid with excellent performance for yield and UHML,” Mundakochi noted. This hybrid holds significant potential for cultivation across Tamil Nadu, with a scope for further evaluation in diverse environments.
The research also identified other promising hybrids, such as H25 (SVPR3 × MCU5), which performed best for seed cotton yield in E3, and H27 (Suraj × Sunantha), which excelled in E2 and E1. For UHML, H04 (TVH002 × CO14) in E1 and H30 (Suraj × MCU5) in E2 and E3 showed remarkable performance. In terms of fiber strength, H28 (Suraj × Suraksha) for E2 and E3 and H26 (Suraj × Subiksha) for E1 were the top performers.
The multi-trait stability index (MTSI) analysis identified four promising hybrids, namely, H24 (SVPR3 × CO14), H09 (TVH2010 × CO14), H18 (MCU7 × Suraksha), and H29 (Suraj × CO14), as stable with average performance for all four traits. These hybrids offer a balanced approach to cotton farming, ensuring consistent performance across different environments.
The commercial implications of this research are substantial. By identifying stable, high-yielding hybrids, farmers can enhance their productivity and profitability. The study’s findings can guide breeders and farmers in selecting the most suitable hybrids for their specific environments, ultimately leading to improved cotton production and quality.
This research not only advances our understanding of cotton hybrid stability but also paves the way for future developments in the field. As Mundakochi puts it, “The identified hybrids in this study hold significant potential for cultivation across Tamil Nadu, with a scope for further evaluation in diverse environments.” This opens up new avenues for research and development, ensuring that the cotton industry continues to thrive and adapt to changing environmental conditions.
In conclusion, this study is a testament to the power of advanced analytical techniques in agriculture. By leveraging tools like GGE biplot, WAASB, and MTSI, researchers can uncover valuable insights that drive innovation and progress in the field. As we look to the future, the integration of such techniques will be crucial in addressing the challenges and opportunities that lie ahead for cotton farming.

